Populationsmatrizen:

Was bringt das Untersuchen von Populationen mit Matrizen?

Populationsmatrizen sind ein mathematisches Konzept, das in der Bevölkerungsdynamik und anderen Bereichen der Biologie und Sozialwissenschaften verwendet wird. Sie bieten eine Möglichkeit, Veränderungen in der Zusammensetzung einer Population über die Zeit zu modellieren. Sie bieten auch die Möglichkeit Vorhersagen über den zukünftigen Verlauf von Populationen zu treffen.

Ein Beispiel für eine solche Matrix sieht wie rechts angegeben aus:

Um eine Prognose zu treffen muss die Matrix mit einer Anfangspopulation multipliziert werden. Das sieht dann so aus:

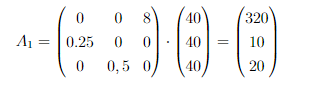
Die Berechnung eines Beispiels mit Ergebnis sieht dann so aus:

Das Ergebnis gibt die Population der nächsten Generation an. Es gibt 320 Individuen der jüngsten Altersgruppe, 10 der mittleren Altersgruppe und 20 der ältesten Altersgruppe.

Wiederholen wir diesen Prozess und setzen die Ergebnisse in einen Graphen um so sieht das wie nebenbei aus:

Gefällt dir das Thema? Schau dir mehr Beispiele und Herleitungen in meiner Facharbeit mit folgendem Link an, viel spaß 😉

Falls dir der Stoff in der Facharbeit zu trocken ist, habe ich auch eine Präsentation zu dem Thema gehalten. Du kannst sie als PowerPoint aufrufen.