Ausschöpfung mit Trapezen

Integrale

Im Schulunterricht lernt man bereits die Grundregeln und Methoden für die Bildung von Stammfunktionen und das Berechnen von Integralen. Das Integral bietet die Möglichkeit, den Flächeninhalt zwischen Graph und x-Achse in einem bestimmten Intervall zu bestimmen. Mit den Grundregeln können auch schon viele Funktionen integriert werden, jedoch kann schnell eine Funktion gefunden werden, die nicht mithilfe der Grundregeln integriert werden kann. Bekannt aus dem Schulunterricht sind die Potenzregel, Faktorregel, Summenregel und die Differenzregel.

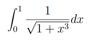
Ein Beispiel für einen Term, der nicht wie gewohnt integriert werden kann, ist folgender:

Stattdessen können Integrale solcher nicht-integrierbaren Funktionen nur angenähert werden, mit numerischen Methoden. Behandelt wurden in meiner Facharbeit das Sehnentrapez- und das Simpsonverfahren.

Die Grundidee besteht darin, die Fläche zwischen einem Graphen und der x-Achse mithilfe einer endlichen Anzahl geometrischer Formen, wie Rechtecken oder Trapezen,
herungsweise zu bestimmen (wie im Titelbild dargestellt). Beim Simpsonverfahren werden jedoch für eine genauere Annäherung des Flächeninhalts Parabelbögen (quadratische Funktionen) verwendet.

Die Formel zur Annäherung des Flächeninhalts mit dem Sehnentrapezverfahren:

Die Formel zur Annäherung des Flächeninhalts mit dem Simpsonverfahren:

Auch wenn diese Formeln auf den ersten Blick kompliziert erscheinen, ist die Herleitung sehr verständlich.
Falls dich diese beiden numerischen Methoden und deren Herleitung, aber auch einige andere analytische Integrationsmethoden, interessieren, sieh dir gerne die vollständige Seminararbeit an!